
MIL-PRF-19978K
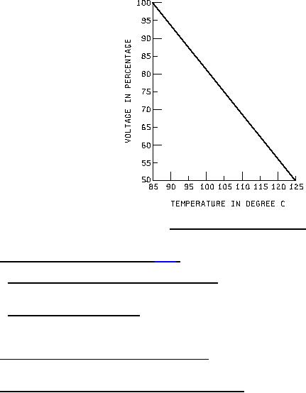
FIGURE 2. Intended operating temperature.
6.5.5 Barometric pressure (reduced) (see 4.7.7).
6.5.5.1 Ceramic-cased or glass-cased tubular capacitors. The dc voltage that may be applied to ceramic-cased
or glass-cased tubular capacitors at altitudes from 50,000 to 100,000 feet may be obtained from figure 3.
6.5.5.2 Metal-cased tubular capacitors. The dc voltage that may be applied to metal-cased tubular capacitors at
altitudes other than 80,000 feet may be obtained from figure 4, except that the dc voltage rating must not be
exceeded.
6.5.6 Representation of minimum insulation resistance. A graphical representation of minimum insulation
resistance, as specified in the applicable specification sheet, is shown in figure 5.
6.5.7 Life at temperatures and voltages below and above rated. The failure rates used in this specification are
referred to operation at rated voltage at the maximum rated temperature. The sampling plans and failure-rate
determinations throughout the specification assume an acceleration factor of 5 for the life test conducted at the
maximum rated temperature and 140 percent of rated voltage. Lower failure rates than those for which the
manufacturer has obtained qualification may be achieved by operating the capacitors at lower voltage, or at lower
temperatures, or both. Factors by which failure rates are to be multiplied under conditions other than maximum
conditions are shown on figure 6 (characteristic K only).
30
For Parts Inquires submit RFQ to Parts Hangar, Inc.
© Copyright 2015 Integrated Publishing, Inc.
A Service Disabled Veteran Owned Small Business